基于熱敏電阻的測溫技術
在測溫領域,NTC熱敏電阻器,即負溫度系數熱敏電阻器,憑借其獨特的特性發揮著重要作用。其顯著特點為電阻值會隨著溫度的上升而迅速下降,這一特性使其成為測量溫度的關鍵元件。
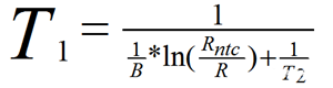
溫度計算的核心公式如下:

其中,T1和T2分別表示開爾文溫度,開爾文溫度與攝氏度的換算關系為:開氏度=攝氏度+273.15。
Rntc代表熱敏電阻在溫度T1下的阻值。
R是熱敏電阻在常溫T2下的標稱阻值,例如,50K的熱敏電阻在25℃時的阻值為50K,此時對應的T2為273.15+25。
B則是熱敏電阻的固有參數,此處取值為3950K。
通過上述公式轉換后可得T1的值:

需要注意的是,計算得出的溫度為開爾文溫度,若需將其轉換為攝氏度,只需減去273.15即可。
以下是NTC熱敏電阻測溫電路圖中的典型微控制器保護電路:

在一些對溫度敏感的應用場景,如快速充電過程中,為了防止因環境與電池之間的溫差過大而引發問題,有必要測量環境溫度。為此,可將第二個NTC熱敏電阻直接放置在充電電路板上。

〈烜芯微/XXW〉專業制造二極管,三極管,MOS管,橋堆等,20年,工廠直銷省20%,上萬家電路電器生產企業選用,專業的工程師幫您穩定好每一批產品,如果您有遇到什么需要幫助解決的,可以直接聯系下方的聯系號碼或加QQ/微信,由我們的銷售經理給您精準的報價以及產品介紹
聯系號碼:18923864027(同微信)
QQ:709211280

